Home
B.sc
B.com
+1 Mathematics
+2 Mathematics
Home
TERMS AND CONDITIONS
CONTACT US
MATH FUN QUIZZES
IMPORTANT FORMULAS
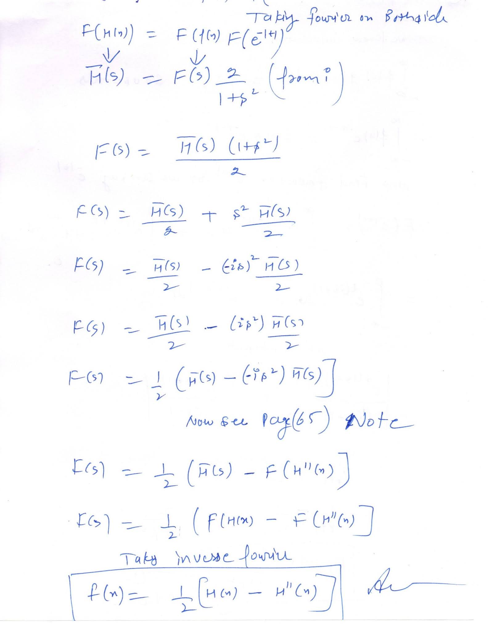
B.sc (Mathematical methods solution)
Exercise-2(a)
Post a Comment
0 Comments
Search This Blog
NAVIGATION
Home
FORMULAS
HELPING VIDEOS IN MATH
PRACTICE QUESTION
HELPING VIDEOS BUSINESS MATH (HINDI)
PRECALCULUS TOPICS
PREVIOUS YEAR QUESTION PAPERS
Bachelors in Computer Application
FUN MATH QUIZZES
LIMITS
SERIES
Discord Solutions
ARCHIVE
April
1
May
1
July
3
August
5
February
2
March
4
July
11
August
19
September
4
October
5
April
2
May
1
June
8
July
5
August
1
September
1
February
3
March
7
April
19
August
3
September
2
December
1
October
2
August
2
April
2
May
2
July
5
August
1
September
4
October
4
November
5
December
8
January
4
March
2
Report Abuse
subscribe
Enter your email address:
Delivered by
FeedBurner
Pages
Contact Us
Terms and Conditions
About Us
Formulas
Practice Questions for 12
Practice problems for Discrete maths (B.sc)
Practice Questions for class 11th
Practice Questions for B.C.A 2nd (Discrete maths)
Helping Videos for BCA (discrete math) in Hindi
Practice Questions for B.sc (linear algebra)
Helping Videos on Linear Algebra (Hindi)
Helping vedios for B.sc (Discrete math)
Helping videos for B.com Business maths (Hindi)
B.sc (Mathematical methods solution)
B.sc Dynamics
10th class Topic wise MCQs (Mathematics)
12th class Topic wise MCQs of mathematics
Pair of linear equations in two variables
Exercise Problems Solution B.sc -3 (CSM)
B.sc -2nd (Differential equation Helping vedios)
B.sc -3rd Helping Videos (abstract algebra)
ARCHIVE
Discord Solution
Sitemap
Punjabi university Bachelor of Commerce discrete math previous year question paper
Previous year Question paper B.C.A computer oriented numerical and statistical methods (Punjabi university Patiala)
cookies policy
MM
Labels
+1 Mathematics
23
+2 Mathematics
35
+2maths
1
10th class
2
abstract algebra
1
advance mathematics
7
Advance maths
8
AI
2
B.C.A
6
B.com practice Questions
1
B.Com(1st) business maths
3
B.sc (2nd) Dynamics
1
b.sc discrete
2
BCA
4
binomial
1
Board Classes
2
calculators
2
cet
2
Cheat sheet for ACT math
1
cheat sheet limits
1
competitive
2
complex analysis
2
Computer Applications
2
computer science
1
CTET
3
Derivative
1
determinant
1
Formulas
15
Functions
1
G.P
1
Gate
4
Graphs
1
Haryana Common Eligibility Test (CET) 2025
1
Helping videos for some topics in mathematics
1
hpsc
3
Hpsc 2017
1
IISER
1
IIT
1
Important Identities
1
Improper integral
1
inequality
1
Integration
1
inverse trigonometry
1
JEE
1
Limits
1
Lines
2
Logarithm
2
M.sc IT
1
math
1
mathematics
1
Matrices
1
NBHM
6
Number Theory
1
one marks
1
permutation
1
PPSC
2
Practice questions
14
Precalculus
14
Precalculus topics
1
Previous year question papers
9
quadratic
1
Quizzes
5
quotes
2
Random Knowledge
1
real analysis
3
Series
3
series sum
10
sets theory
1
solution
1
Solutions of P.S.E.B Questions paper
1
Standard algebraic identities
1
system of equations
1
system of linear equations
1
theorems
1
tricks
1
Trigonometric formulas
1
Trigonometry
2
tutor
1
Updates
1
Popular Posts
previous year Question paper B.C.A basic mathematics (Punjabi university Patiala)
March 10, 2020
Practice Question of sets for bachelor in Computer Application
August 26, 2020
HPSC Assistant Professor Mathematics Exam 2025 – Complete Question Paper With Answer Key”
September 28, 2025
Tags
0 Comments